Предмет: Алгебра,
автор: ЯМария
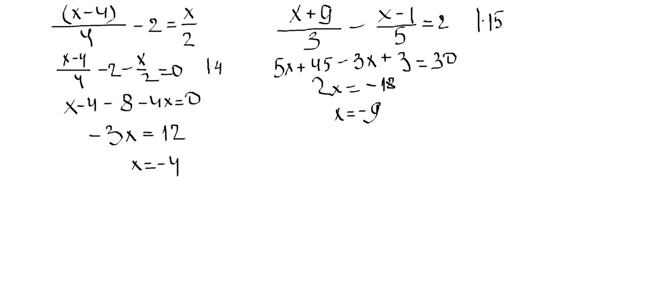
2 Уравнения: (x-4)/4-2=(x/2), (x+9)/3-(x-1)/5=2
Ответы
Автор ответа:
0
х - 4 / 4 - 2 = x / 2
x - 4 / 2-x / 2 =0
( x - 4 - x ) / 2 =0
- 4 / 2 = - 2
Ответ : - 2
Автор ответа:
0
смотри и учись, проще простого
Приложения:
Похожие вопросы
Предмет: Английский язык,
автор: yatskiv02
Предмет: Биология,
автор: strimergax
Предмет: Английский язык,
автор: cristianshchurov36
Предмет: Математика,
автор: Vasyasafin
Предмет: Математика,
автор: ann5525