Предмет: Геометрия,
автор: vadim9
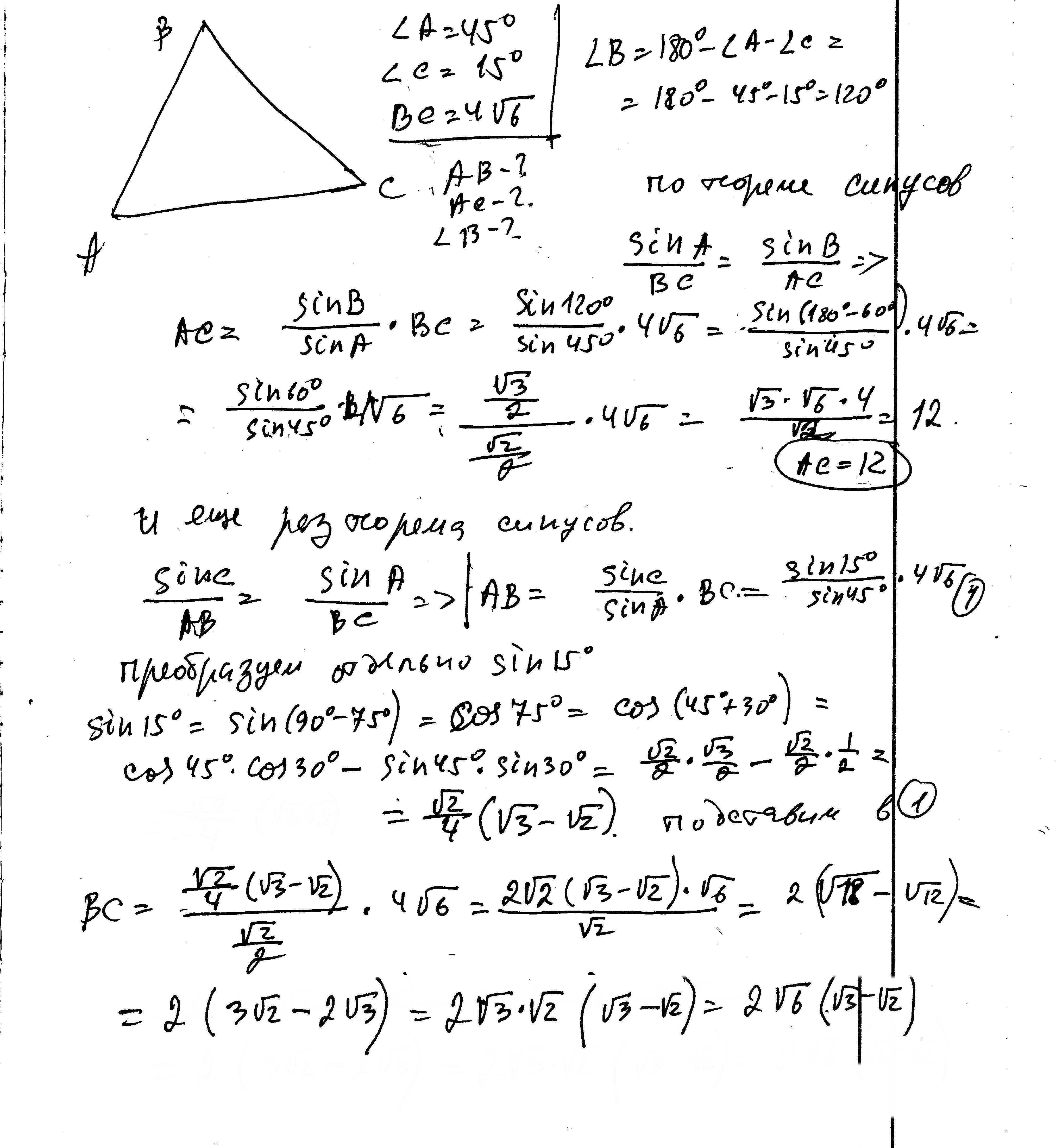
Дано: треугольник АВС угол А=45 угол С=15 ВС=4V6 (4 корней из 6)
Найти: АВ, АС, угол В.
Ответы
Автор ответа:
0
Надеюсь в арифметике не ошибся.
Приложения:
Похожие вопросы
Предмет: Алгебра,
автор: timurlanovaadinai
Предмет: Обществознание,
автор: peachlenapeppa
Предмет: Математика,
автор: titovevgenij361
Предмет: Математика,
автор: Аноним
Предмет: Алгебра,
автор: Яна25okt