Предмет: Алгебра,
автор: kristinazak
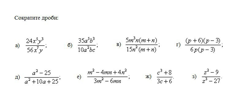
сократите дроби ))))))))))))))))))))0)))))))0))))0))!1!!!!
Приложения:
Ответы
Автор ответа:
0
Решение смотри в приложении
Приложения:
Автор ответа:
0
Сори, конечно 3 , сейчас исправлю))
Автор ответа:
0
Помогите мне с д) е) з) ж) ))),как вы это делаете? понять не могу ((
Автор ответа:
0
ну пазяяуста(((
Автор ответа:
0
Есть формулы разница квадратов, квадрат суммы , посмотри в учебнике a^2-b^=(a-b)(a+b) (a+b) ^2=a^2+2ab+b^2
Автор ответа:
0
оу,лан спс^^
Похожие вопросы
Предмет: Физика,
автор: kdlssmzlskdd
Предмет: ОБЖ,
автор: Аноним
Предмет: Геометрия,
автор: Аноним
Предмет: Обществознание,
автор: Жаковка
Предмет: Математика,
автор: Nurana3