Предмет: Алгебра,
автор: Lacheeva
как решить этот лимит ?
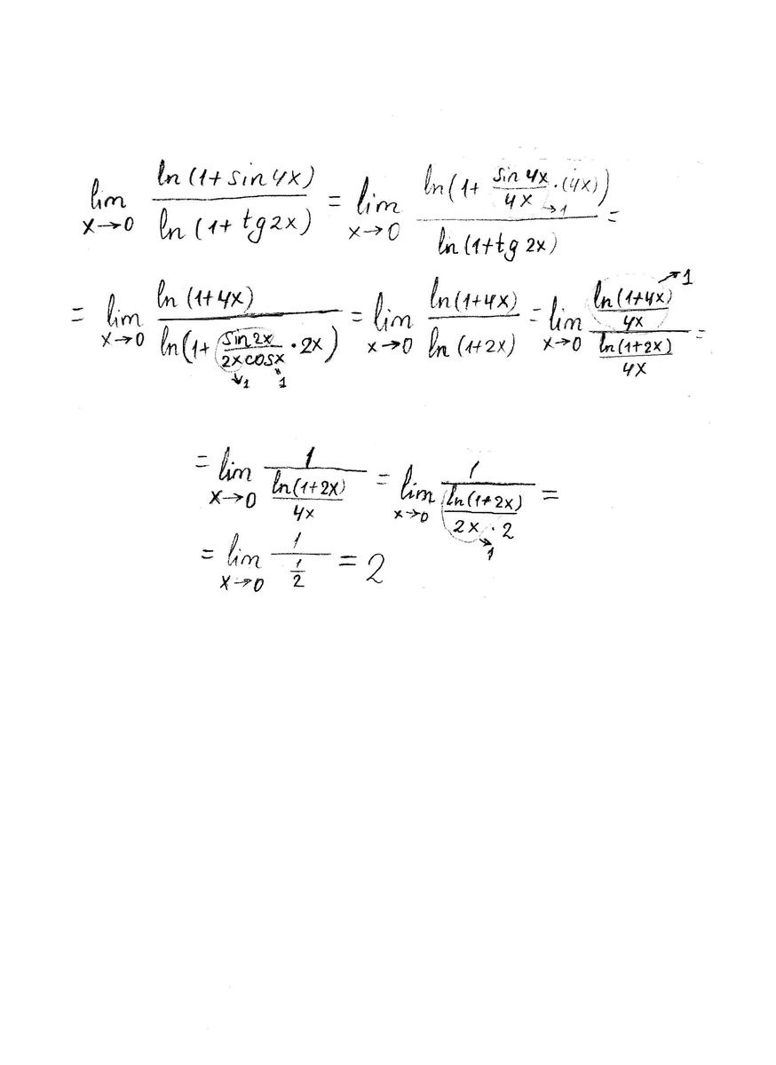
lim x->0 (ln(1+sin4x)/ln(1+tg2x)
Ответы
Автор ответа:
0
Решение в приложении.
Приложения:
Автор ответа:
0
огромное спасибо
Похожие вопросы
Предмет: Қазақ тiлi,
автор: honita13
Предмет: Информатика,
автор: sofklimovich
Предмет: Қазақ тiлi,
автор: toleunursezim
Предмет: Математика,
автор: dianabalakovo
Предмет: Математика,
автор: mrzam1972