Предмет: Математика,
автор: Yirion
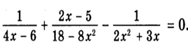
Решите пожалуйста!!!
Приложения:
Ответы
Автор ответа:
0
Решение смотри в приложении
Приложения:
Похожие вопросы
Предмет: Геометрия,
автор: sofiataskarakova
Предмет: История,
автор: ggujnfnfjfh
Предмет: Литература,
автор: poliana20080501
Предмет: Математика,
автор: елена10252532