Предмет: Алгебра,
автор: Julia7999
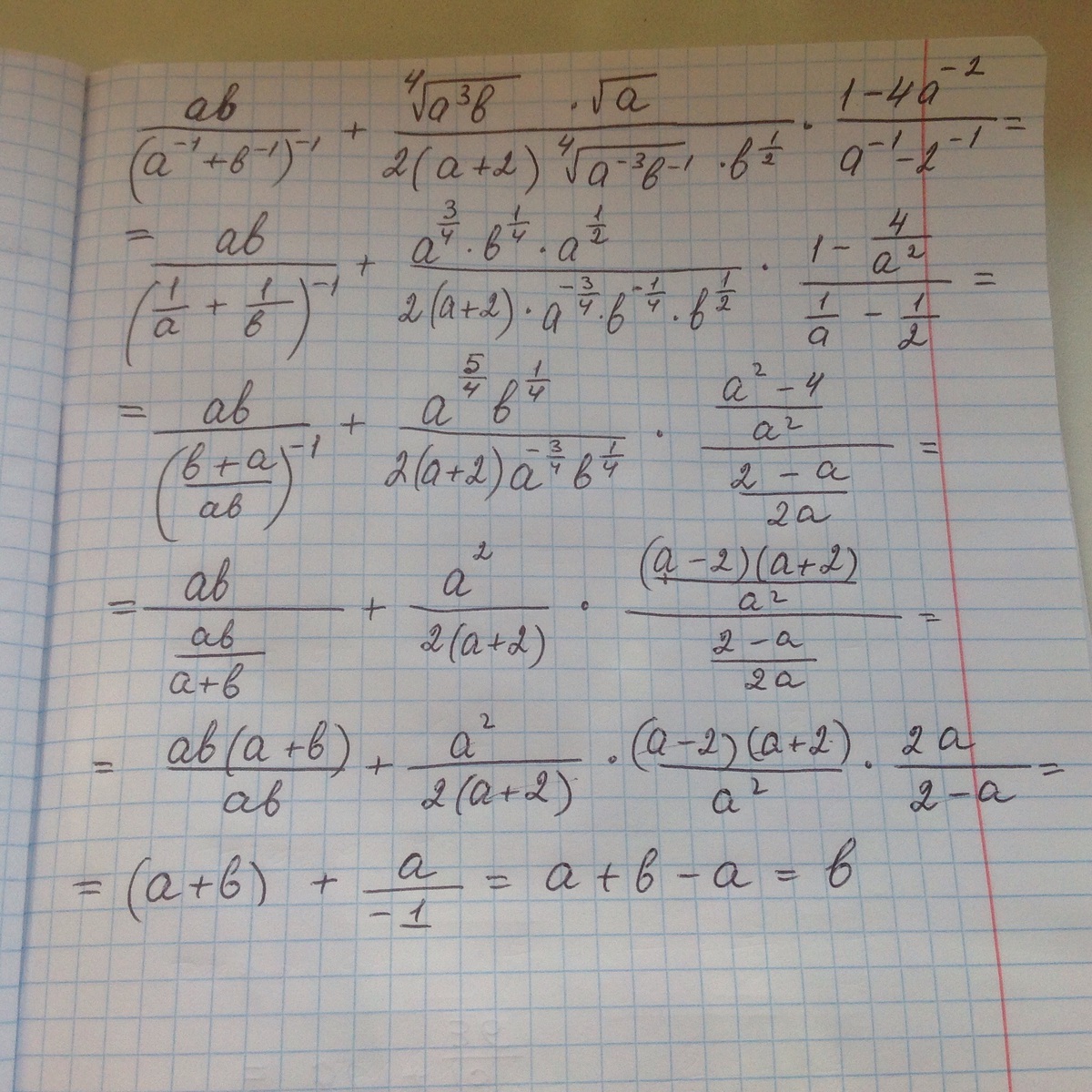
Упростите выражение
Приложения:
Ответы
Автор ответа:
0
решение во вложенииииииииииииииииииииииииии
Приложения:
Автор ответа:
0
Решение смотри в приложении
Приложения:
Похожие вопросы
Предмет: Математика,
автор: milanamil414
Предмет: Литература,
автор: 4svpoltos1
Предмет: Алгебра,
автор: alinalevova18
Предмет: История,
автор: Meriamey
Предмет: Литература,
автор: Аноним