Предмет: Математика,
автор: echeda777
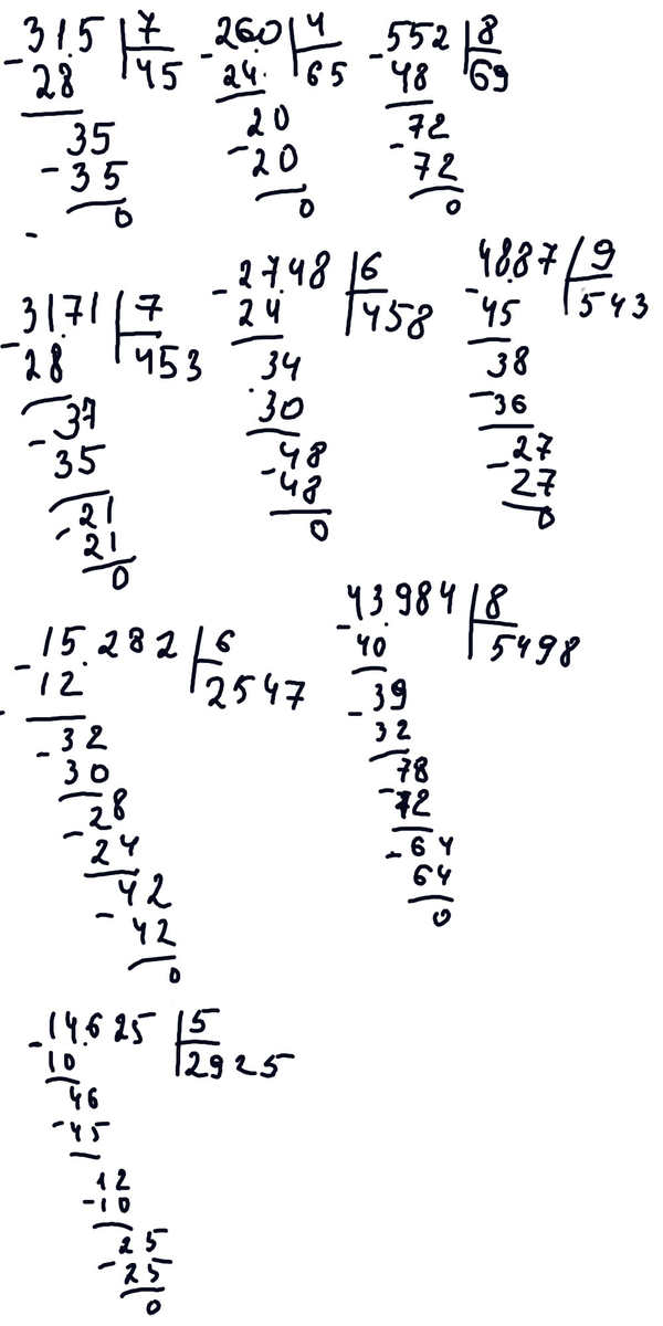
вычисли, записывая деления в столбик
Приложения:
Ответы
Автор ответа:
0
315:7=45
260:4=65
552:8=69
3171:7=452
2748:6=458
4887:9=543
15282:6=2547
43984:8=5498
14625:5=2925
260:4=65
552:8=69
3171:7=452
2748:6=458
4887:9=543
15282:6=2547
43984:8=5498
14625:5=2925
Автор ответа:
0
простите за корявый почерк, но зато столбиком, как и просили
Приложения:
Похожие вопросы
Предмет: Қазақ тiлi,
автор: malikaisha904
Предмет: Математика,
автор: shax880808
Предмет: Геометрия,
автор: cc9846954
Предмет: Математика,
автор: кошкамурр