Предмет: Химия,
автор: Tolyan87
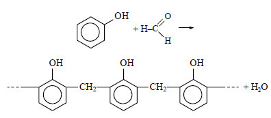
как получить фенолформальдегидную смолу из метана
Ответы
Автор ответа:
0
Можно в 4 стадии:
1) CH₄ + Cl₂ ---> CH₃Cl + HCl
2) CH₃Cl + KOH --> CH₃OH + KCl
3) CH₃OH + CuO --> HCHO + Cu + H₂O
4)
Приложения:
Похожие вопросы
Предмет: Русский язык,
автор: sydykovagulzada34
Предмет: Қазақ тiлi,
автор: kumisbaevaajdana
Предмет: Английский язык,
автор: tattigul1955
Предмет: Математика,
автор: нэли