Предмет: Алгебра,
автор: Мариша015
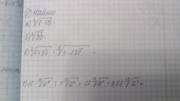
Помогите пожалуйста!! Найти:
Приложения:
Ответы
Автор ответа:
0
решение смотри в приложении
Приложения:
Похожие вопросы
Предмет: Русский язык,
автор: Аноним
Предмет: Английский язык,
автор: AlexandraViktorovna
Предмет: Математика,
автор: mahambetov944
Предмет: Математика,
автор: zaur0934