Предмет: Алгебра,
автор: ВасилисаСланицкая
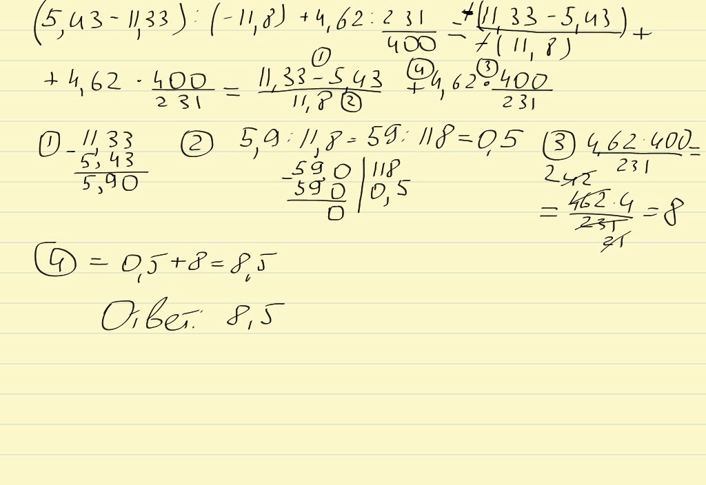
найдите значение числового выражения:
(5,43-11,33):(-11,8)+4,62:231/400
231/400 - это дробь.
Ответы
Автор ответа:
0
...............................
Приложения:
Похожие вопросы
Предмет: Литература,
автор: vikakkkkkkk
Предмет: География,
автор: sashulya2059
Предмет: Немецкий язык,
автор: ira14051
Предмет: Математика,
автор: моисейка