Предмет: Математика, автор: Daryatyupa99

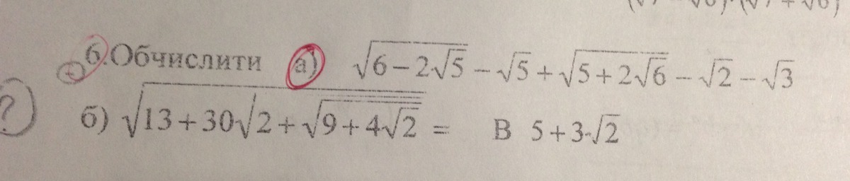
Помогите. Там только А нужно.

Приложения:

Ответы

Автор ответа: dubovskajavn
0
модуль корень из 5 -1     - корень из 5   плюс   корень из 2+ корень из 3 - корень из 2  -   корень из 3= -1. ответ:  -1
Похожие вопросы