Предмет: Алгебра,
автор: Elena1211
Прошу помогите срочно(((((( Сократите дробь
Приложения:
Ответы
Автор ответа:
0
(9 -2√3)/(3√6 -2√2) =√3(3√3 -2)/√2(3√3 -2) =√(3/2).
---------------
(2√2 -x√x) / (2 +√(2x) +x) =((√2)³ -(√x)³ ) / (2 +√(2x) +x) =
(√2 -√x) (2 +√(2x) +x) / (2 +√(2x) +x) = √2 -√x .
---------------
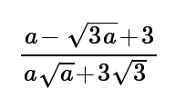
(a -√(3a) +3)/(a√a+3√3) = (a -√(3a) +3)/((√a)³+(√3)³) =(a -√(3a) +3)/(√a+√3)(a -√(3a) +3) =
1/(√a+√3).
---------------
(2√10 - 5)/(4 -√10) =2(2√10 -5)/2(4 -√10) =(4√10 -10)/2(4 -√10) =√10(4 -√10)/2(4 -√10) =
(√10)/2.
---------------
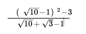
((√10 -1)² -3)/(√10 +√3 -1) =((√10 -1)² -(√3)²)/(√10 +√3 -1) =
=(√10 -1 -√3)(√10 -1 +√3)/(√10 +√3 -1) = √10 -1 -√3.
---------------
(2√2 -x√x) / (2 +√(2x) +x) =((√2)³ -(√x)³ ) / (2 +√(2x) +x) =
(√2 -√x) (2 +√(2x) +x) / (2 +√(2x) +x) = √2 -√x .
---------------
(a -√(3a) +3)/(a√a+3√3) = (a -√(3a) +3)/((√a)³+(√3)³) =(a -√(3a) +3)/(√a+√3)(a -√(3a) +3) =
1/(√a+√3).
---------------
(2√10 - 5)/(4 -√10) =2(2√10 -5)/2(4 -√10) =(4√10 -10)/2(4 -√10) =√10(4 -√10)/2(4 -√10) =
(√10)/2.
---------------
((√10 -1)² -3)/(√10 +√3 -1) =((√10 -1)² -(√3)²)/(√10 +√3 -1) =
=(√10 -1 -√3)(√10 -1 +√3)/(√10 +√3 -1) = √10 -1 -√3.
Автор ответа:
0
и не нужно . где и остальные ?
Автор ответа:
0
помогите пожалуйста ещё с одним заданием http://znanija.com/task/13556442
Похожие вопросы
Предмет: Другие предметы,
автор: akatsiki28
Предмет: Қазақ тiлi,
автор: bisembainazymai
Предмет: Биология,
автор: nikakononov
Предмет: История,
автор: анька1брюнетка
Предмет: Литература,
автор: Корка