Предмет: Алгебра,
автор: olganikitina19
СРОЧНО решите задачу с условие и решением
Приложения:
Ответы
Автор ответа:
0
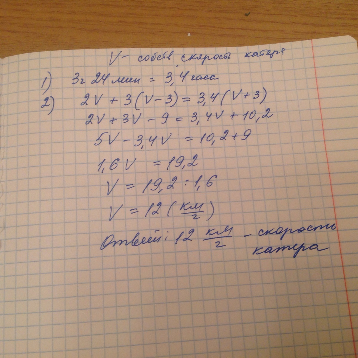
Решение смотри в приложении
Приложения:
Автор ответа:
0
Спасибо
Похожие вопросы
Предмет: Геометрия,
автор: fiercesteel2000
Предмет: История,
автор: nastyakutseva
Предмет: Окружающий мир,
автор: Аноним
Предмет: Обществознание,
автор: ekaterinapror
Предмет: История,
автор: велоспортик