Предмет: Алгебра,
автор: сергей104
таблица формулы сокращенного умножения
Ответы
Автор ответа:
0
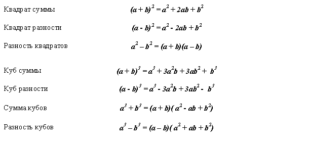
Вот, надеюсь подойдет.
Приложения:
Автор ответа:
0
Здесь без таблицы,но все формулы есть
Приложения:
Похожие вопросы
Предмет: Обществознание,
автор: Jasdf67
Предмет: Математика,
автор: ayalabegalieva
Предмет: Русский язык,
автор: gulzhanmedina
Предмет: Математика,
автор: dbuket