Предмет: Алгебра,
автор: youonelove
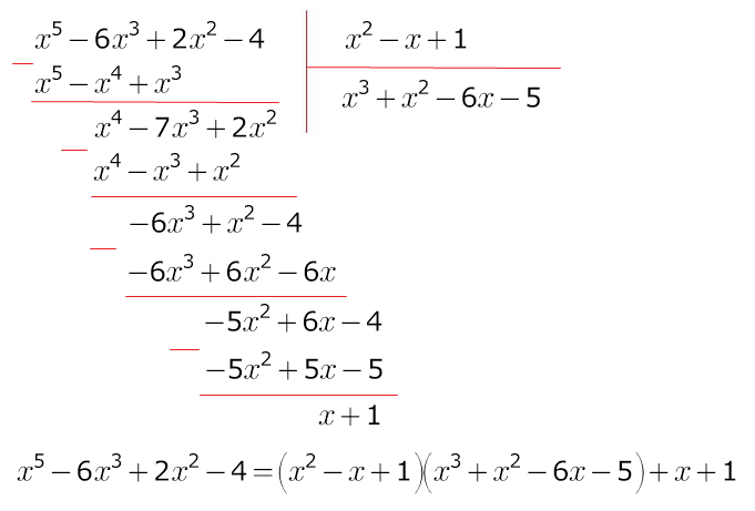
Проведите деление с остатком:

На

(метод неопределенных коэффициентов)
Ответы
Автор ответа:
0
решение во вложениииииииииииииииииииииииииии
Приложения:
Автор ответа:
0
скину в личку решение методом неопределенных коэффициентов
Автор ответа:
0
и всегда нужно делать проверку...
(раскрывать скобки))) чтобы не было ошибок...
(раскрывать скобки))) чтобы не было ошибок...
Приложения:
Похожие вопросы
Предмет: Геометрия,
автор: borovskikhnikita05
Предмет: Английский язык,
автор: galinskiinikita
Предмет: История,
автор: dina170806
Предмет: Математика,
автор: anastasiyaarseniy