Предмет: Алгебра,
автор: kivi8987
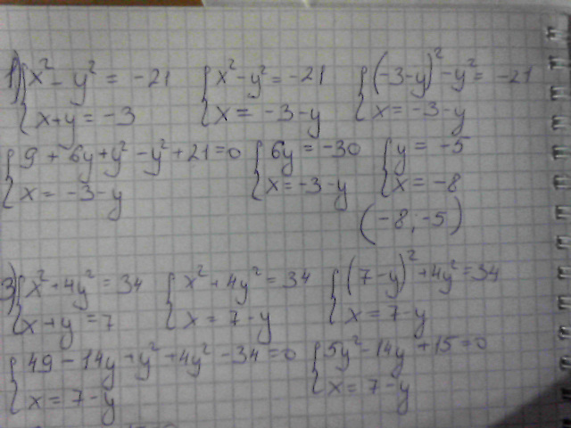
решите систему уравнений срочно 2 шт
Приложения:
Ответы
Автор ответа:
0
решение во вложениях
Приложения:
Автор ответа:
0
х " - y"=-21 x"-y"=-21
x+y=-3 x=-3-y
(-3-y)"-y"=-21
9-6y+y"-y"=-21
-6y=-21-9
-6y=-30
y=5 x=-8
Приложения:
Похожие вопросы
Предмет: Оʻzbek tili,
автор: nadush09091774
Предмет: Русский язык,
автор: fazier2
Предмет: История,
автор: saparalievcyngyz
Предмет: Алгебра,
автор: nabatnikova1999