Предмет: Математика,
автор: FROLOVAKSUHA
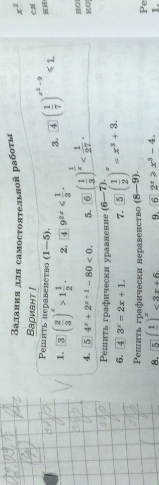
Ребят помогите пожалуйста , очень надо
Приложения:
Ответы
Автор ответа:
0
первое. 0,3^5-2х=0,09
0,09:0.3=0,3, т е 0,3*0,3=0,09, т е 0,3^2 = 0,09
значит степень 5-2х=2
5-2х=2
5-2=2х
3=2х
х=1,5
0,09:0.3=0,3, т е 0,3*0,3=0,09, т е 0,3^2 = 0,09
значит степень 5-2х=2
5-2х=2
5-2=2х
3=2х
х=1,5
Похожие вопросы
Предмет: Русский язык,
автор: leska91
Предмет: Математика,
автор: karimzonovasahina
Предмет: История,
автор: Аноним
Предмет: Математика,
автор: Rahmanr11