Предмет: Алгебра,
автор: Роксана10
прошу помогите урок завтра 23 сен а я не могу решить их
Приложения:
Ответы
Автор ответа:
0
1
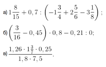
1)-1 3/4+2 5/6-3 1/8=-1 18/24+2 20/24-3 3/24=-4 21/24+2 20/24=-2 1/24
2)0,7:(-2 1/24)=-7/10*24/49=-12/35
3)1 8/15-12/35=1 56/105-36/105=1 20/105=1 4/21
2
Выражение содержит деление на 0⇒оно не имеет смысла
3
1)1, 26*1 3/7*0,25=126/100*10/7*1/4=9/20
2)1,8*7,5=13,5
3)9/20:27/2=9/20*2/27=1/30
1)-1 3/4+2 5/6-3 1/8=-1 18/24+2 20/24-3 3/24=-4 21/24+2 20/24=-2 1/24
2)0,7:(-2 1/24)=-7/10*24/49=-12/35
3)1 8/15-12/35=1 56/105-36/105=1 20/105=1 4/21
2
Выражение содержит деление на 0⇒оно не имеет смысла
3
1)1, 26*1 3/7*0,25=126/100*10/7*1/4=9/20
2)1,8*7,5=13,5
3)9/20:27/2=9/20*2/27=1/30
Автор ответа:
0
3ий не правильно там не 9/20 а 7/20
Автор ответа:
0
Ну да ,если 63:7=7.Но я такой таблицы умножения не знаю
Автор ответа:
0
ты бы сидел и не писал мне ты вообще какую то писанину написал что никто не поймет
Автор ответа:
0
Ради бога,списывай с ошибками!
Автор ответа:
0
мне чужие ошибки не нужны я и сома могу так написать
Похожие вопросы
Предмет: Қазақ тiлi,
автор: nur20101985
Предмет: Математика,
автор: saparovajanerk
Предмет: Қазақ тiлi,
автор: sekretikonditerstva
Предмет: Математика,
автор: tatyankatazina
Предмет: Математика,
автор: Zazik99