Предмет: Алгебра,
автор: ENZHE62
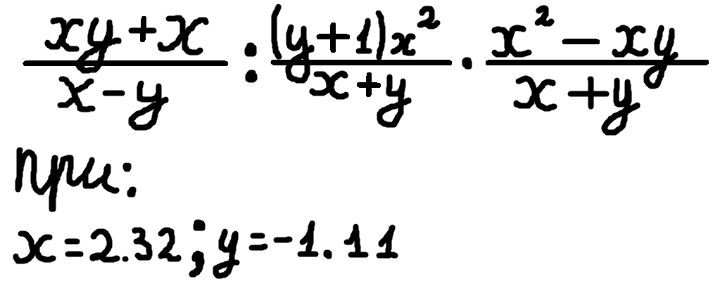
Решите пожалуйста! Алгебра 8 класс
Приложения:
Ответы
Автор ответа:
0
Похожие вопросы
Предмет: География,
автор: pogoriliymark
Предмет: География,
автор: axxx999axxx999
Предмет: Русский язык,
автор: todorovi4vo
Предмет: Физика,
автор: dthi98
Предмет: Информатика,
автор: Дашулька1999