Предмет: Алгебра,
автор: пуй
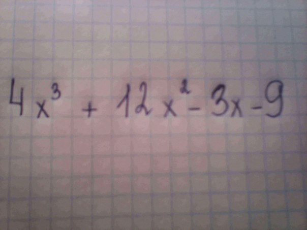
Разложить многочлены на Множетели!
Помогите пожалуйста
Приложения:
Ответы
Автор ответа:
0
4x2(x+3)-3(x+3)=(4x2-3)(x+3)
Автор ответа:
0
Спасибо
Похожие вопросы
Предмет: Музыка,
автор: bulatvafin2006
Предмет: Математика,
автор: diana5637
Предмет: Информатика,
автор: Xopohttttqq
Предмет: Математика,
автор: kadyrovcfif
Предмет: Литература,
автор: 8888Неизвестная8888