Предмет: Алгебра,
автор: Rorymax
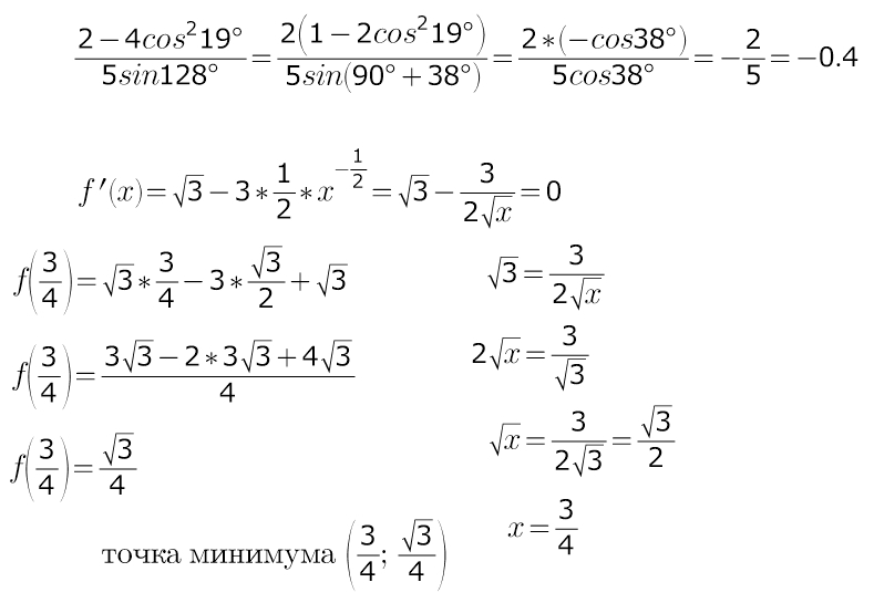
9 и 12 пожалустаааа!!!!
Приложения:
Ответы
Автор ответа:
0
---------------------------------------------------------
Приложения:
Похожие вопросы
Предмет: Английский язык,
автор: kcircova599
Предмет: Физика,
автор: Ycyfufy
Предмет: Русский язык,
автор: GTbijvujviv
Предмет: Математика,
автор: айдкош
Предмет: Математика,
автор: AngiF