Предмет: Геометрия,
автор: Алена786
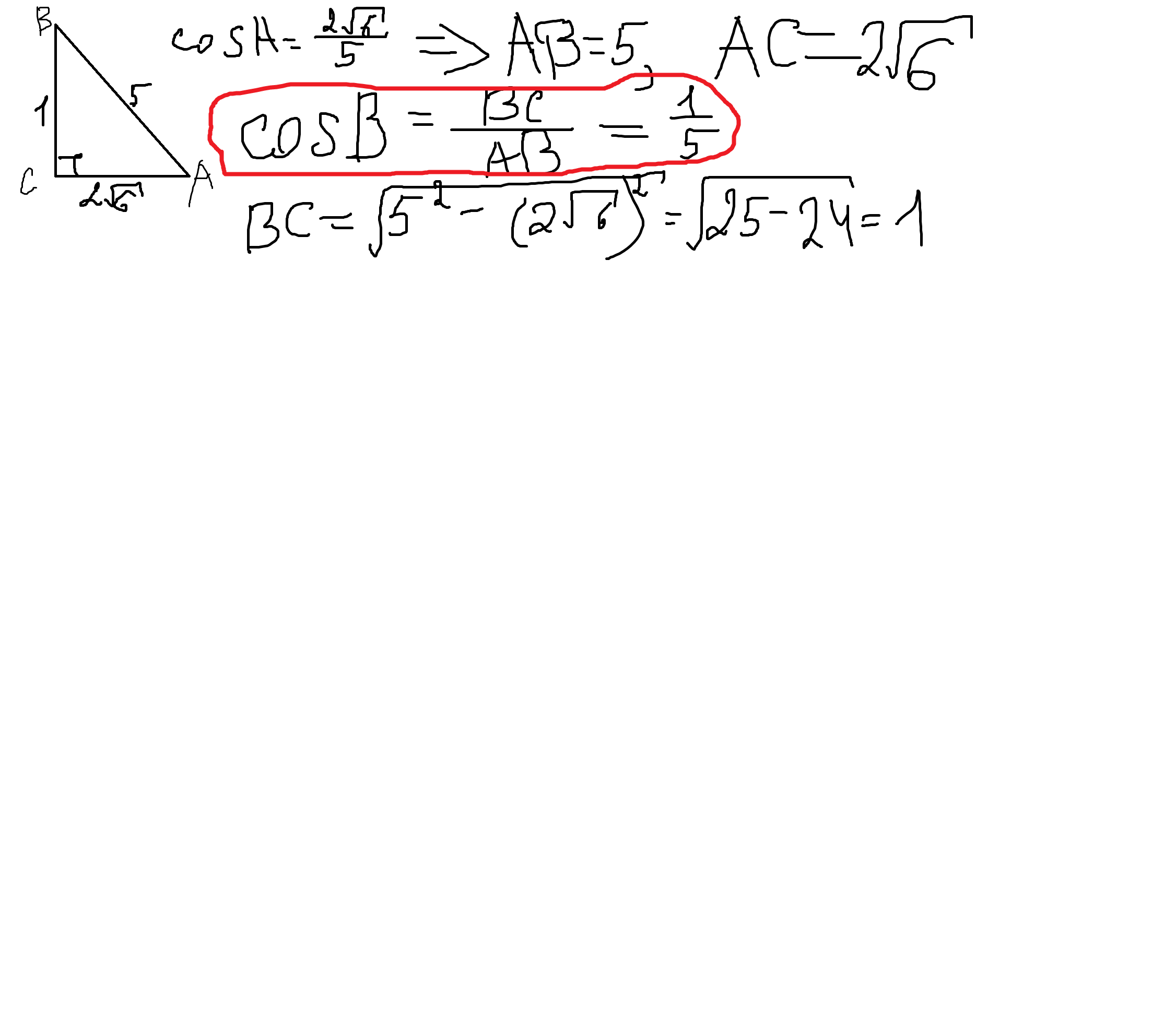
В треугольнике АВС угол С=90 cosА=2 корня из 6/5 найдите cosВ
Ответы
Автор ответа:
0
я тебе во вложении всё расписала
Приложения:
Похожие вопросы
Предмет: ОБЖ,
автор: ashatyrysbek
Предмет: Биология,
автор: bog935
Предмет: Математика,
автор: PavlitoZer
Предмет: Алгебра,
автор: 45m45