Предмет: Алгебра,
автор: Аноним
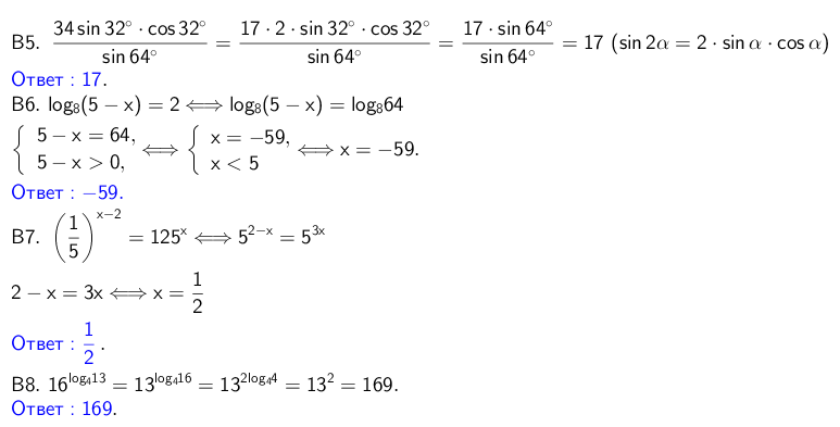
помогите пожалуйста в5-в8
Приложения:
Ответы
Автор ответа:
0
Смотрите решение в прикреплённом файле.
Приложения:
Похожие вопросы
Предмет: Литература,
автор: mistress06
Предмет: Математика,
автор: Аноним
Предмет: Қазақ тiлi,
автор: maratova330
Предмет: Математика,
автор: olgalelik1980