Предмет: Математика,
автор: totalwar5555
Мнимые числа.
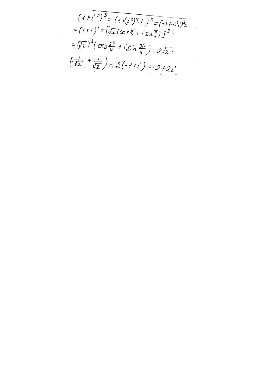
(1+i^9)^3
Ответы
Автор ответа:
0
Решение в приложении.
Приложения:
Автор ответа:
0
Спасибо)
Похожие вопросы
Предмет: Окружающий мир,
автор: vizinokmisha
Предмет: Музыка,
автор: kadyrovadina875
Предмет: Литература,
автор: sgshhdhd
Предмет: Химия,
автор: Senim