Предмет: Физика,
автор: Катриса
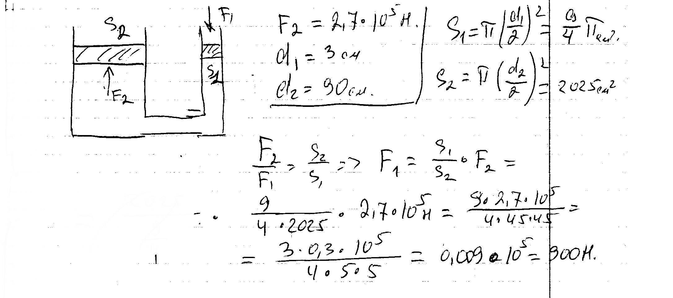
гидравлический пресс должен производить силу 2,7*10в 5 степени Н.диаметр малого поршня 3см,большого 90см.Какая сила должна быть приложена к малому поршню?
Ответы
Автор ответа:
0
решение в скане.............
Приложения:
Похожие вопросы
Предмет: Алгебра,
автор: umidaaumarova
Предмет: Геометрия,
автор: hadaga9771
Предмет: Другие предметы,
автор: mira481
Предмет: Геометрия,
автор: dina2002