Предмет: Математика,
автор: irina19951111
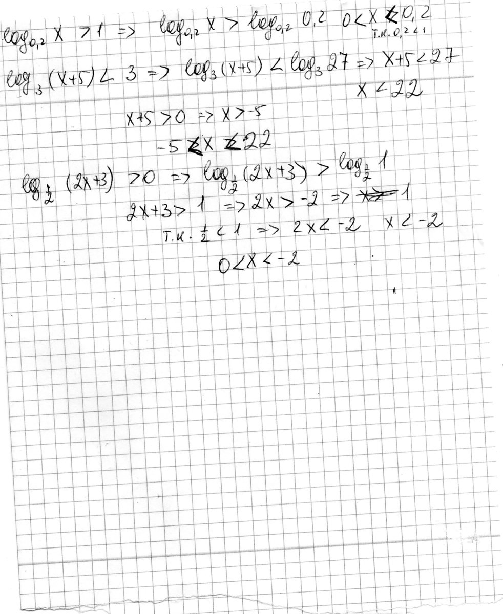
решить неравенства: а)логарифм X по основанию 0.2 ,,больше 1 б)логарифм(Х+5) по основанию 3 меняше 3 в)логарифм(2Х+3) по основанию одной второй больше нуля
Ответы
Автор ответа:
0
всё решение на фотографиях
Приложения:
Автор ответа:
0
решение в файле)))))))))))))))
Приложения:
Похожие вопросы
Предмет: Алгебра,
автор: zirnovartem519
Предмет: Русский язык,
автор: nurovilas07337
Предмет: Английский язык,
автор: peaceful03
Предмет: Математика,
автор: Jatrisa
Предмет: Алгебра,
автор: proshina