Предмет: Алгебра,
автор: danilka22072000
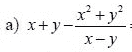
Помогите пожалуйста упростить выражение.Заранее спасибо)
Приложения:
Ответы
Автор ответа:
0
Решение смотри в приложении
Приложения:
Похожие вопросы
Предмет: Русский язык,
автор: karinaromanova567
Предмет: Математика,
автор: Ameliy5665
Предмет: Математика,
автор: noname30011945
Предмет: Обществознание,
автор: andreymarkov2
Предмет: Литература,
автор: Vladosik44444