Предмет: Алгебра,
автор: region7424
sin40градусов+sin16градусов
Ответы
Автор ответа:
0
sin40+sin16=2sin28cos12 ~ 0,92, рассчет по таблице
Автор ответа:
0
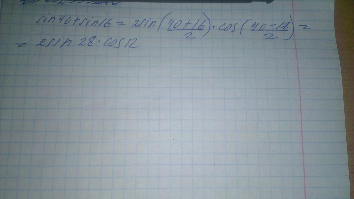
Сумму синусов можно преобразовать в произведение функций, по формуле:
sina+sinb=2sin((a+b)/2)*cos((a-b)/2);
Приложения:
Похожие вопросы
Предмет: ОБЖ,
автор: olgakrivosheeva74
Предмет: Українська мова,
автор: bregin81
Предмет: Алгебра,
автор: vanya9553
Предмет: Биология,
автор: Юляша04