Предмет: Математика,
автор: limo48
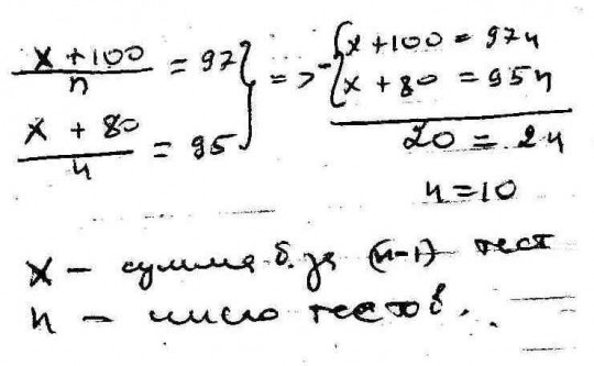
Вася проходит серию тестов, за каждый из которых он может получить от 0 до 100 баллов. Перед выполнением последнего теста Вася подсчитал, что если он получит за него 100 баллов, то его средний балл будет 97, а если получит всего 80 баллов, то его средний балл будет 95. Сколько всего тестов в этой серии?
Ответы
Автор ответа:
0
вот так как то !!!!!!!
Приложения:
Автор ответа:
0
я так понимаю 4 теста?
Похожие вопросы
Предмет: Алгебра,
автор: igorr9
Предмет: Биология,
автор: Аноним
Предмет: Психология,
автор: Аноним
Предмет: Математика,
автор: eIenanazarenko7