Предмет: Математика,
автор: Muxap
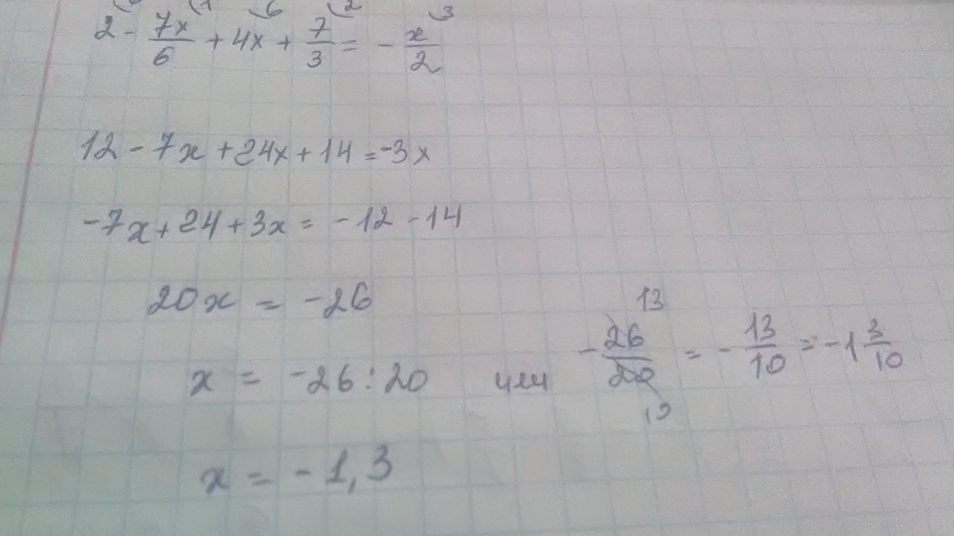
Помогите решить 2-7x/6+4x+7/3=-x/2
Ответы
Автор ответа:
0
Ответ: на фото
Пошаговое объяснение:
Приложения:
Похожие вопросы
Предмет: Алгебра,
автор: pdo200114
Предмет: Литература,
автор: bbbalenko
Предмет: Алгебра,
автор: seqku
Предмет: Математика,
автор: Robben2
Предмет: Биология,
автор: Аноним