Предмет: Математика,
автор: MishaFoxxx
Пожалуйстааа, я совсем плох в дробях тт-тт
Приложения:
Ответы
Автор ответа:
0
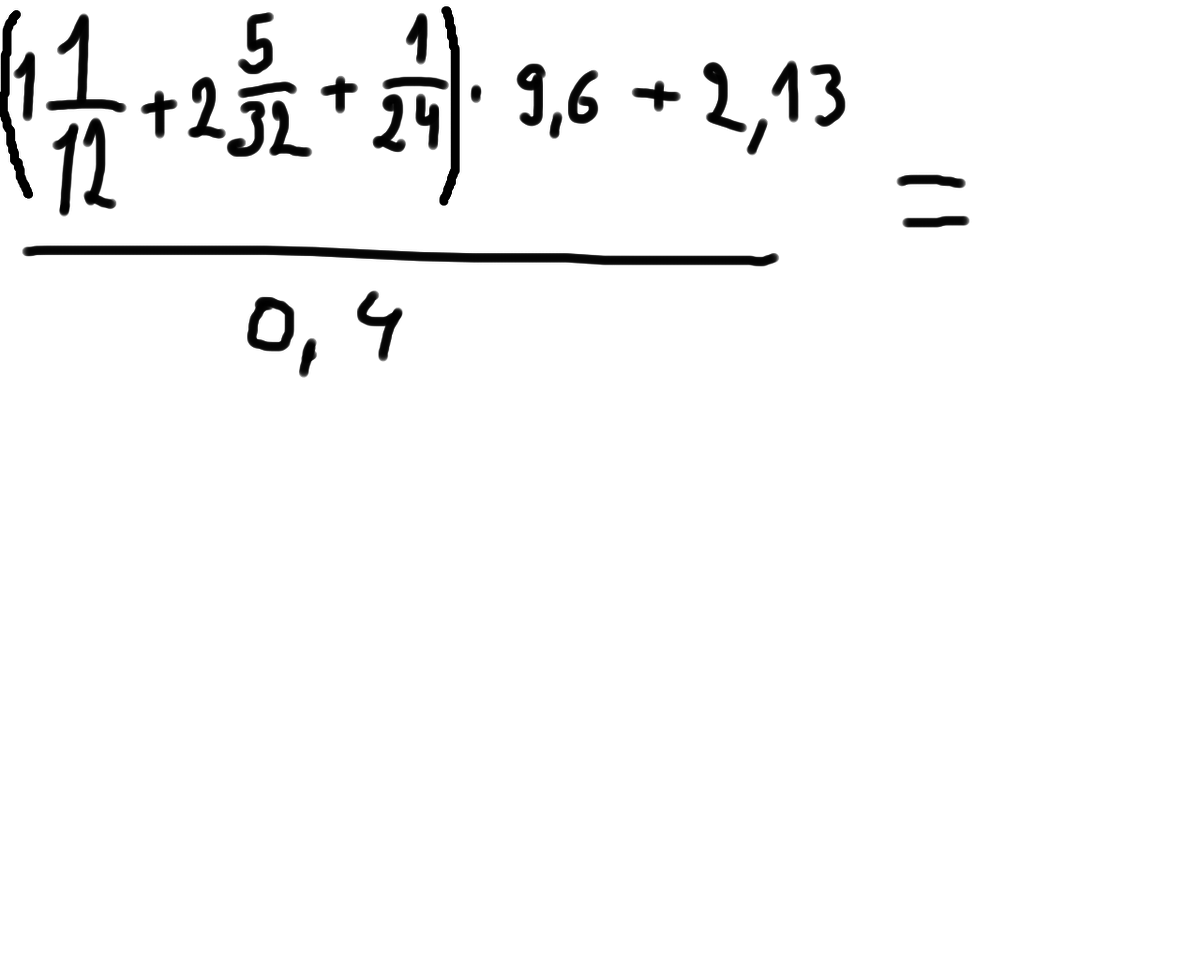
1) 3 9/32
2) 31,5
3)34,8
4)87
ответ 87
2) 31,5
3)34,8
4)87
ответ 87
Автор ответа:
0
Как вы посчитали ? о-о
Можете расписать, пожалуйста, чтобы я вник
Если не сложно
Можете расписать, пожалуйста, чтобы я вник
Если не сложно
Похожие вопросы
Предмет: Геометрия,
автор: katrinaadams80
Предмет: Русский язык,
автор: aruzanutekali
Предмет: Русский язык,
автор: Аноним
Предмет: Математика,
автор: 89535138339
Предмет: История,
автор: oksana150200