Предмет: Алгебра,
автор: thinkgfuik
Помогите пожалуйста я на самостоятельной
Приложения:
Ответы
Автор ответа:
0
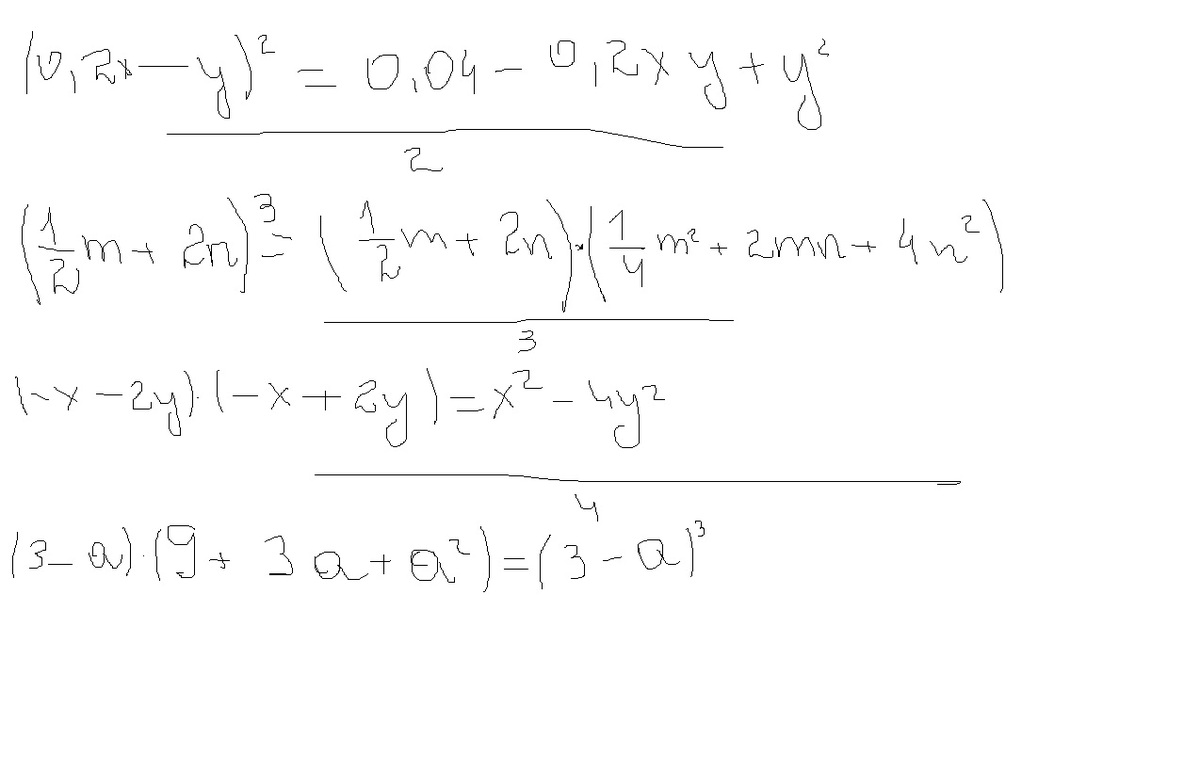
решение на фото
__________________________
__________________________
Приложения:
Автор ответа:
0
спасибо
Автор ответа:
0
2) (0,2x-y)²=0.004x²-0.4xy+y²
4) ( 1/2m=2n)³ = 1/9m³ + 3m²n + 3mn²+8n³
6) ( -x - 2y) * ( - x + 2y) = x² - 4y²
8) ( 3 - a ) * ( 9 + 3a + a²) = 27 - a³
4) ( 1/2m=2n)³ = 1/9m³ + 3m²n + 3mn²+8n³
6) ( -x - 2y) * ( - x + 2y) = x² - 4y²
8) ( 3 - a ) * ( 9 + 3a + a²) = 27 - a³
Приложения:
Автор ответа:
0
спасибо!
Похожие вопросы
Предмет: Английский язык,
автор: ksndnfi8374
Предмет: Другие предметы,
автор: cofia6ggyy
Предмет: Математика,
автор: yamalievaazaliyaram
Предмет: Алгебра,
автор: HakainaKwon
Предмет: История,
автор: MaxGOld22Rus