Предмет: Алгебра,
автор: белка8769
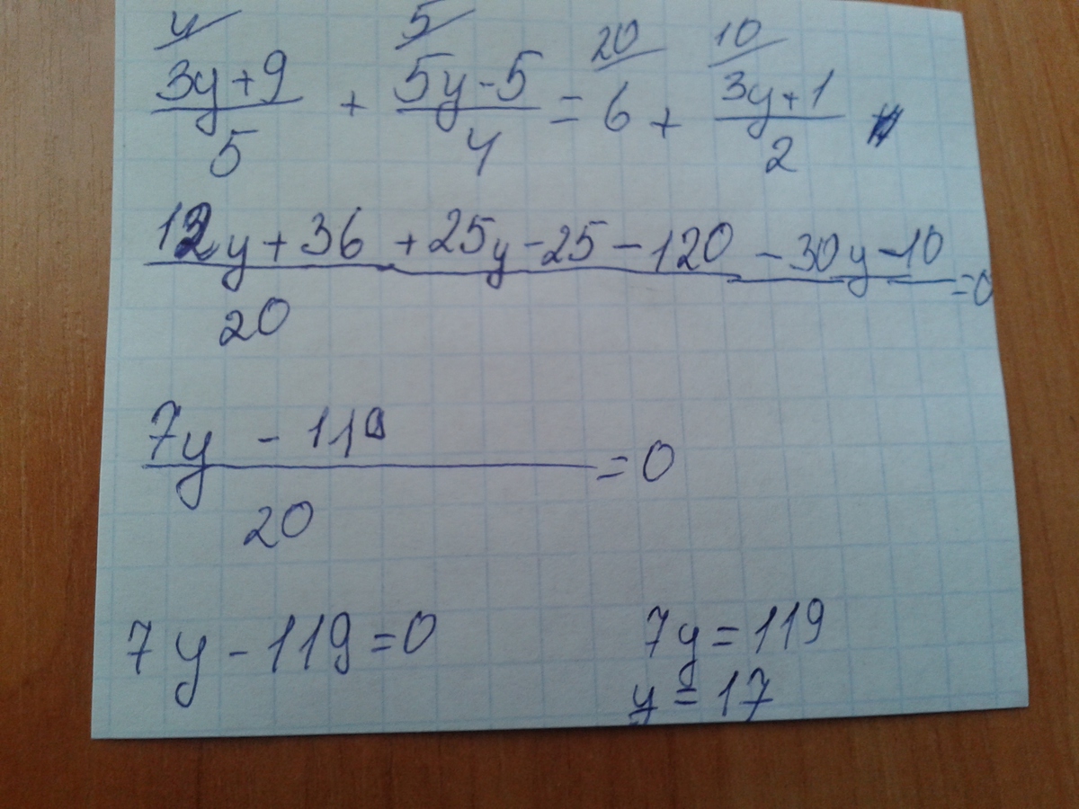
помогите решить уравнение 1.
Приложения:
Ответы
Автор ответа:
0
вот. как-то так. но я особо не уверенна. проверь. чем смогла тем помогла
Приложения:
Автор ответа:
0
спасибо большое.
Автор ответа:
0
не за что. но я не уверенна что правильно все
Похожие вопросы
Предмет: Другие предметы,
автор: insidedie47
Предмет: Математика,
автор: Friend85
Предмет: Биология,
автор: maksimdoranskij
Предмет: Математика,
автор: Аноним
Предмет: Экономика,
автор: СЭМВИНЧЕСТЕРДУРАЧОК