Предмет: Математика,
автор: 052001
РЕШИТЕ УРАВНЕНИЕ ПОДРОБНО
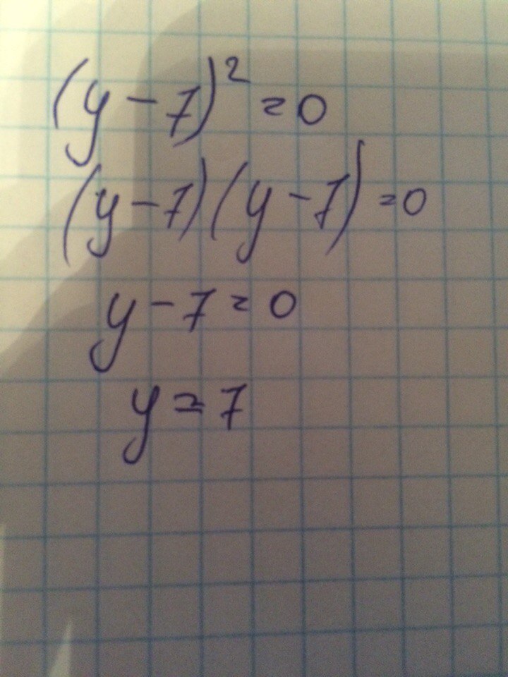
y^2-14y+49=0
Ответы
Автор ответа:
0
Мы можем свернуть уравнение по формуле разность квадратов.
Приложения:
Автор ответа:
0
дискриминант мы не проходили) в 7 классе я
Автор ответа:
0
Окей, сейчас попробую объяснить по другому)
Автор ответа:
0
спасибо)
Автор ответа:
0
Я исправила)
Автор ответа:
0
все ясно,спасибо)
Похожие вопросы
Предмет: Алгебра,
автор: rfgffttd343
Предмет: Математика,
автор: alyna926
Предмет: Геометрия,
автор: Jury555
Предмет: Обществознание,
автор: shakirqasanov
Предмет: Математика,
автор: Riddley0848