Предмет: Математика,
автор: dron100
Помогите с высшей математикой. Желательно с подробным решением.
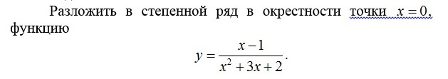
Разложить в степенной ряд в окрестности точки x=0, функцию.
Приложения:
Ответы
Автор ответа:
0
Введём замену: t=z-i, тогда z=t+i,
f(z)=1/t^2*1/(2i+t)^2=t^(-2)*1/(2i)^2*1/(1+t/(2i))^2.
Обозначим: w=t/(2i). Тогда 1/(1+w)=1-w+w^2-w^3+...|w| < 1.
Продифференцируем ряд:
d/dw 1/(1+w)= -1/(1+w)^2=-1+2w-3w^2+4w^3-...|w| < 1.
Область сходимости: 0 < |w| < 1, или 0 < |z-i| < 2.
f(z)=1/t^2*1/(2i+t)^2=t^(-2)*1/(2i)^2*1/(1+t/(2i))^2.
Обозначим: w=t/(2i). Тогда 1/(1+w)=1-w+w^2-w^3+...|w| < 1.
Продифференцируем ряд:
d/dw 1/(1+w)= -1/(1+w)^2=-1+2w-3w^2+4w^3-...|w| < 1.
Область сходимости: 0 < |w| < 1, или 0 < |z-i| < 2.
Похожие вопросы
Предмет: Математика,
автор: Аноним
Предмет: Литература,
автор: Аноним
Предмет: Русский язык,
автор: semensemenov1245
Предмет: Химия,
автор: tatysk13