Предмет: Математика,
автор: Olololololoev
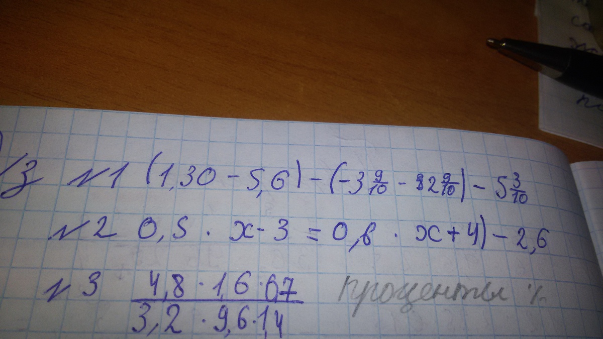
верхнеее пожалуйста поиогитеее!!!!!
Приложения:
Ответы
Автор ответа:
0
1) 1,30-5,6=-4,3
2)-З,9/10-2,9/10= -39/10-29/10=-68/10=-6,8
3)-4,3-6,8=11,1
4)11,1-5,3/10=11,1-53/10=111/10-53/10=58/10=5,8
А ответ есть?
2)-З,9/10-2,9/10= -39/10-29/10=-68/10=-6,8
3)-4,3-6,8=11,1
4)11,1-5,3/10=11,1-53/10=111/10-53/10=58/10=5,8
А ответ есть?
Автор ответа:
0
Пожалуйста)
Автор ответа:
0
а как 4,3 нашел
Автор ответа:
0
Я девочка. Ахах) Посчитала!!! Можешь отнять от 5,6-1,30. Получится 3,4. Тоже самое, только знак поменяй.
Автор ответа:
0
все понял
Автор ответа:
0
спасибо
Похожие вопросы
Предмет: Алгебра,
автор: onlyeasyway
Предмет: Математика,
автор: kravcenkopolina564
Предмет: Математика,
автор: lianasolodova43
Предмет: Физика,
автор: natalka1988
Предмет: Литература,
автор: cibulskaya84