Предмет: Алгебра,
автор: zhibekk0001
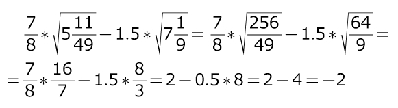
Д) решите пожалуйста))
Приложения:
Ответы
Автор ответа:
0
---------------------------------------------------
Приложения:
Похожие вопросы
Предмет: Химия,
автор: hgvghghhf
Предмет: Математика,
автор: Аноним
Предмет: Математика,
автор: vladhrulin
Предмет: Математика,
автор: kjjcvu
Предмет: Алгебра,
автор: kokokuma