Предмет: Алгебра, автор: verteeva

помогите очень нужно завтра сдавать

Приложения:

Ответы

Автор ответа: Alexаndr
0
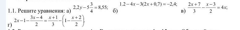
a)2,2y-5frac{3}{4}=8,55\2,2y=8,55+5,75\2,2y=14,3\y=6,5\\b)1.2-4x-3(2x+0,7)=-2,4\1,2-4x-6x-2,1=-2,4\-10x=-1,5\x=0,15
\\c)frac{2x+7}{3}-frac{x-3}{2}=4x\frac{4x+14-3x+9}{6}=4x\x+23=24x\23x=23\x=1

d)2x-1-frac{3x-4}{2}=frac{x+1}{3}-(1-frac{x+2}{2})\2x-1-frac{3x-4}{2}=frac{x+1}{3}+frac{x}{2}\12x-6-9x+12=2x+2+3x\2x=4\x=2
Автор ответа: Alexаndr
0
Ремарка 1:исправлено решение пункта с
Похожие вопросы