Предмет: Информатика,
автор: theangel
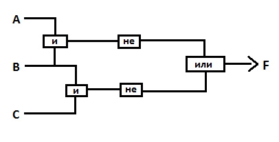
¬(A & B) V ¬(B & C) Составить таблицу истинности и схему
Ответы
Автор ответа:
0
1) считаем кол-во переменных n в логическом выражении. n=3
2) определяем число строк, которое равно m=2^n. m=2^3=8
3) считаем кол-во операций в логическом выражении и определяем кол-во столбцов, которое равно кол-во переменных + кол-во операций. 3+5=8
Таблица и схема в прикреплённых файлах.
2) определяем число строк, которое равно m=2^n. m=2^3=8
3) считаем кол-во операций в логическом выражении и определяем кол-во столбцов, которое равно кол-во переменных + кол-во операций. 3+5=8
Таблица и схема в прикреплённых файлах.
Приложения:
Автор ответа:
0
Чудесно, но еще надо схему, без нее ответ будет неполный.
Похожие вопросы
Предмет: Русский язык,
автор: Аноним
Предмет: Физика,
автор: Аноним
Предмет: Алгебра,
автор: poluektovroman577
Предмет: Математика,
автор: vovovovo2134
Предмет: География,
автор: manis95