Предмет: Геометрия,
автор: smirnovar2016
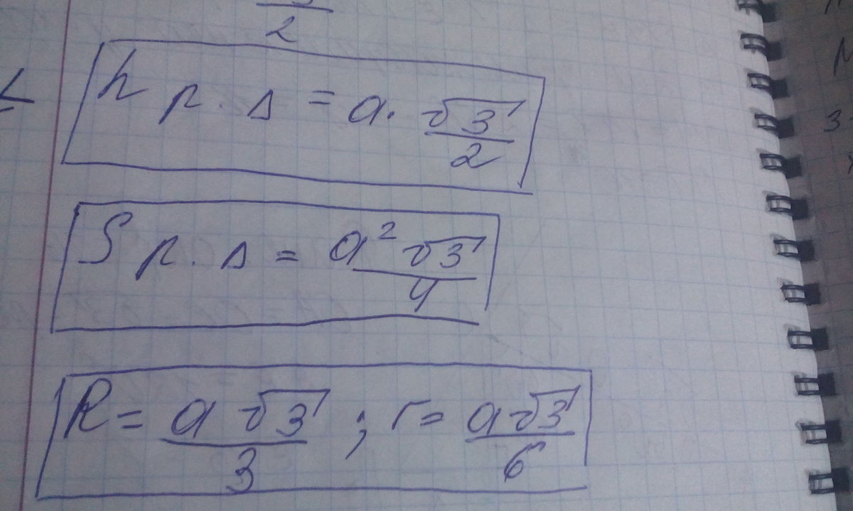
решите три задачи по геометрии
Приложения:
Ответы
Автор ответа:
0
,,,,,,,,,,,,,,,,,,,,,,,,,,,,,,,,,,,,,,,,,,,,,,,,,,,,,,,,,,,,,,,,,,,,,,,,,,,,,,,,,,,,,,,,,,,,,,,,,,,,,,
Приложения:
Похожие вопросы
Предмет: Қазақ тiлi,
автор: Аноним
Предмет: География,
автор: aselmaukeseva
Предмет: Физика,
автор: abbasovamanzaraa
Предмет: Математика,
автор: Аноним
Предмет: Обществознание,
автор: к1р2и3с4я5