Предмет: Математика,
автор: kuzma2003
1.На озере растут водяные лилии. Известно, что их количество удваивается каждый день, и к концу 49-го дня озеро полностью зарастает лилиями. К концу какого дня заросла восьмая часть озера?
2. Витя купил 5 яблок. Все они без первого весили 798 г, без второго – 794 г, без третьего – 813 г, без четвертого – 806 г, без пятого – 789 г. Какова масса всех пяти яблок?
Ответы
Автор ответа:
0
1 задача:
1) 1:2=1/2 (ч.) - озера заросла к концу 48-го дня
2) (1/2):2=1/4 (ч.) - озера заросла к концу 47-го дня
3) (1/4):2=1/8 (ч.) - заросла к концу 46-го дня
Ответ: восьмая часть озера заросла к концу 46-го дня
2 задача:
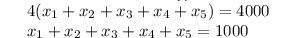
Обозначим массу каждого яблока через х1, х2, х3, х4, х5 гр.
Получим систему уравнений:
рис. 1
Сложим все уравнения:
рис. 2
Ответ: 1000 г масса всех пяти яблок
Удачи :)
1) 1:2=1/2 (ч.) - озера заросла к концу 48-го дня
2) (1/2):2=1/4 (ч.) - озера заросла к концу 47-го дня
3) (1/4):2=1/8 (ч.) - заросла к концу 46-го дня
Ответ: восьмая часть озера заросла к концу 46-го дня
2 задача:
Обозначим массу каждого яблока через х1, х2, х3, х4, х5 гр.
Получим систему уравнений:
рис. 1
Сложим все уравнения:
рис. 2
Ответ: 1000 г масса всех пяти яблок
Удачи :)
Приложения:
Автор ответа:
0
Спасибо огромное!!!
Похожие вопросы
Предмет: Физика,
автор: maxgameru97
Предмет: Литература,
автор: adelekmotelek2606
Предмет: Информатика,
автор: Аноним
Предмет: Алгебра,
автор: Karisha9vamp
Предмет: История,
автор: nikitannj