Предмет: Математика,
автор: markparishkura
Помогите 2 пажалуйста!))
Приложения:
Ответы
Автор ответа:
0
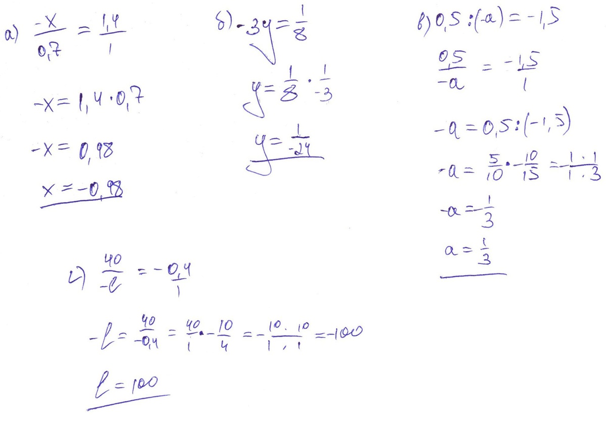
Решение на фото...
Можно сделать проверку подставив полученный корень в исходное уравнение)
Можно сделать проверку подставив полученный корень в исходное уравнение)
Приложения:
Автор ответа:
0
В решение уравнения под буквой в) допущена ошибка, потерян знак "минус" в 4-ой строчке сверху, должно быть: -а=5/10 *(-10/15) = -((1*1)/1*3),- а с новой строки: -а= -1/3. Дальше всё решено верно
Автор ответа:
0
Я же восстановил его, минут 15 назад отредактировал решение)))
Автор ответа:
0
ой, точно, не заметила, спасибо)
Похожие вопросы
Предмет: Қазақ тiлi,
автор: zomartsabina
Предмет: Физика,
автор: elizavetacentrus
Предмет: Химия,
автор: satyvaldievaajgerim5
Предмет: Математика,
автор: Катя200211