Предмет: Алгебра,
автор: sh04
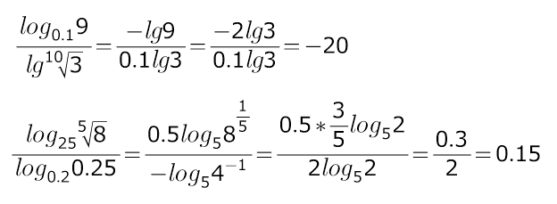
помогите пожалуйста! как решить
Приложения:
Ответы
Автор ответа:
0
Нужно перейти к общему основанию логарифмов, а там все хорошо сократится должно, думаю вы решите дальше сами?
Автор ответа:
0
спасибо, у меня просто в 179 ответ: 3 вышел. А как вы сделали 180?))
Автор ответа:
0
------------------------------------------------------------
Приложения:
Автор ответа:
0
спасибо большое*
Автор ответа:
0
на здоровье!!
Похожие вопросы
Предмет: Литература,
автор: 3680266929272
Предмет: Математика,
автор: sofiiakravchenco
Предмет: История,
автор: tmhmienphicaibang
Предмет: Математика,
автор: samproleplay2