Предмет: Математика,
автор: vipShultze
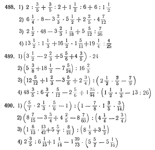
Пожалуйста решите № 490 пункт 4
Приложения:
Ответы
Автор ответа:
0
http://ru.onlinemschool.com/math/assistance/fraction/fraction_calc/
это ссылка на калькулятор дробей
он нормальный и я им сама пользуюсь
это ссылка на калькулятор дробей
он нормальный и я им сама пользуюсь
Приложения:
Автор ответа:
0
но лучше б решение ведь ответ должен получиться 1/2
Автор ответа:
0
ну давай я сейчас попробую решить
если получится я тебе скину
если получится я тебе скину
Автор ответа:
0
я решила
Автор ответа:
0
спс
Похожие вопросы
Предмет: Химия,
автор: buttsyj77
Предмет: Алгебра,
автор: tanjagydum
Предмет: Математика,
автор: turdugulovafarida83
Предмет: Обществознание,
автор: kate2081999
Предмет: Литература,
автор: павлуша74