Предмет: Математика,
автор: aydinboom
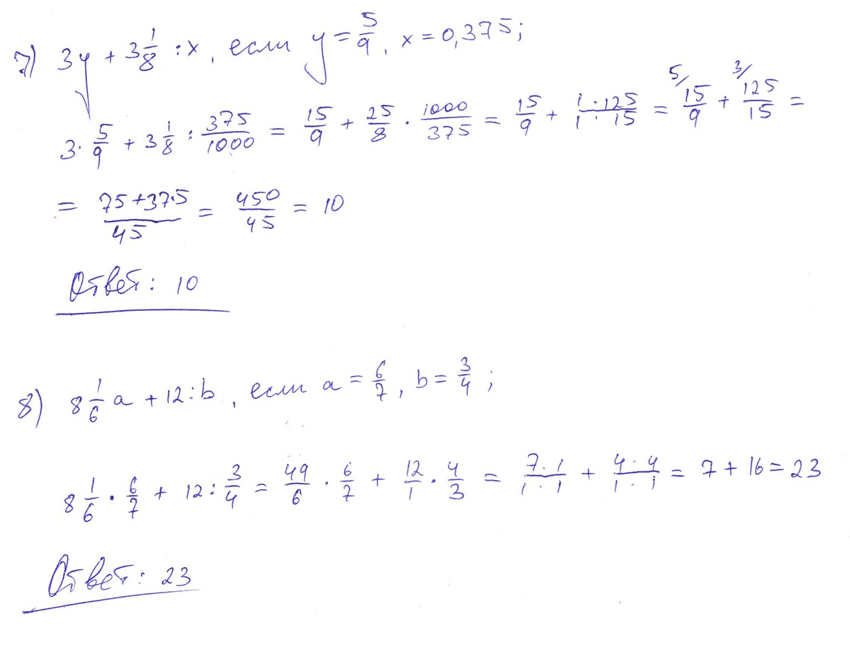
7 и 8 плиз)))))))),.,.,.
Приложения:
Ответы
Автор ответа:
0
Решение на фото.....
Приложения:
Автор ответа:
0
спасибо!
Похожие вопросы
Предмет: Українська література,
автор: sofiya2007sh
Предмет: История,
автор: Henosi
Предмет: Геометрия,
автор: stelmahkate
Предмет: Математика,
автор: ddoogg
Предмет: Биология,
автор: ДарьяЛукьянова13