Предмет: Математика,
автор: millioner084
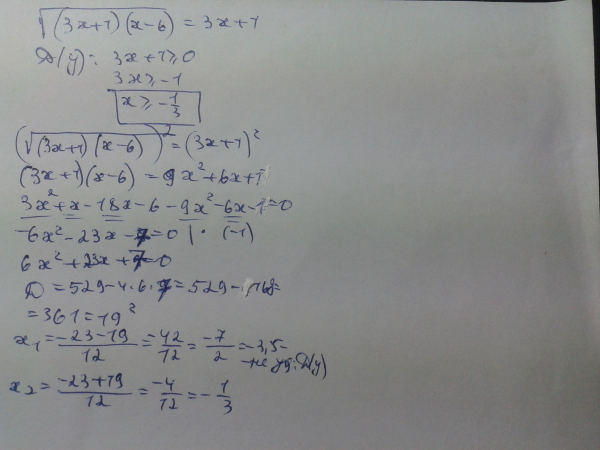
(корень (3x +1)(x-6))=3x +1 принадлежит промежутку
Ответы
Автор ответа:
0
Это третий вариант :Х=1/3∈(-1;0).
Приложения:
Похожие вопросы
Предмет: Геометрия,
автор: viktoryana2
Предмет: Українська мова,
автор: noname6887
Предмет: Химия,
автор: dasha8175aaaaaaa
Предмет: Геометрия,
автор: 445200
Предмет: Геометрия,
автор: vladislava009