Предмет: Алгебра,
автор: aikobiko
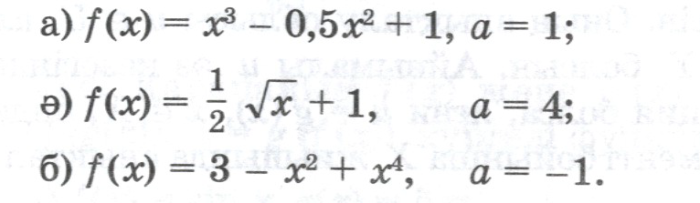
Помогите написать касательное уравнение проводимое к f(x) графигу функции в точке (a;f(a))
Cпс
Приложения:
Ответы
Автор ответа:
0
Уравнение касательной к графику функции у=f(x) в точке х=а имеет вид:

1) Находим

Уравнение касательной
у=1,5+2(х-1)
у=2х-0,5
Ответ. у=2х-0,5
2)

Ответ. Уравнение касательной
3)

Ответ. Уравнение касательной у=-2х+1
1) Находим
Уравнение касательной
у=1,5+2(х-1)
у=2х-0,5
Ответ. у=2х-0,5
2)
Ответ. Уравнение касательной
3)
Ответ. Уравнение касательной у=-2х+1
Автор ответа:
0
http://znanija.com/task/12672485
Автор ответа:
0
огромное спасибо за решение задачи не поможете с задачей по этому линку
Похожие вопросы
Предмет: Геометрия,
автор: mercuryff
Предмет: Английский язык,
автор: anastasiagulidova48
Предмет: Русский язык,
автор: maglovna
Предмет: Алгебра,
автор: valeriya0698
Предмет: Литература,
автор: kotyara0072