Предмет: Химия,
автор: marina250995
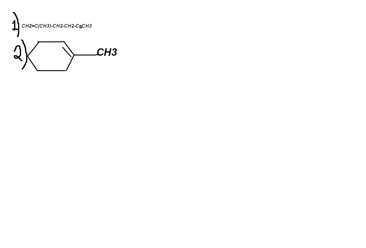
ПОМОГИТЕ,ПОЖАЛУЙСТА,НАЗВАТЬ ОРГАНИЧЕСКИЕ СОЕДИНЕНИЯ!
Приложения:
Ответы
Автор ответа:
0
У первого неправильно составлена формула: у углерода валентность равна четырём, а у него три атома водорода и вдобавок тройная связь!
Второй - 1-метилциклогексен
Похожие вопросы
Предмет: Математика,
автор: inoplanetanin12
Предмет: География,
автор: Аноним
Предмет: Математика,
автор: Аноним
Предмет: Физика,
автор: Psychedelic
Предмет: Алгебра,
автор: Алина1799