Предмет: Алгебра,
автор: aniyn
Решите, пожалуйста
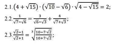
Проверить справедливость равенств:
Приложения:
Ответы
Автор ответа:
0
Решение смотри в приложении
Приложения:
Похожие вопросы
Предмет: Литература,
автор: annstepko
Предмет: Английский язык,
автор: Аноним
Предмет: Геометрия,
автор: absegdit
Предмет: История,
автор: ForZZa