Предмет: Алгебра,
автор: aniyn
Решите, пожалуйста
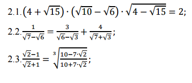
Проверить справедливость равенств
Приложения:
Ответы
Автор ответа:
0
1)
2)

левая часть равна правой, равенство доказано.
3)
Значит
![sqrt[3]{ frac{10-7 sqrt{2} }{10+7 sqrt{2} } }= frac{ sqrt{2}-1 }{ sqrt{2}+1 } sqrt[3]{ frac{10-7 sqrt{2} }{10+7 sqrt{2} } }= frac{ sqrt{2}-1 }{ sqrt{2}+1 }](https://tex.z-dn.net/?f=+sqrt%5B3%5D%7B+frac%7B10-7+sqrt%7B2%7D+%7D%7B10%2B7+sqrt%7B2%7D+%7D++%7D%3D+frac%7B+sqrt%7B2%7D-1+%7D%7B+sqrt%7B2%7D%2B1+%7D++)
2)
левая часть равна правой, равенство доказано.
3)
Значит
Похожие вопросы
Предмет: Биология,
автор: pezdakakayato
Предмет: Английский язык,
автор: Аноним
Предмет: Геометрия,
автор: azubova008
Предмет: Математика,
автор: Аноним